10 Đề ứng dụng công nghệ thông tin cơ bản mới nhất 2025-2026
DANH SÁCH TÓM TẮT:
Đề 1: ĐỀ ỨNG DỤNG CÔNG NGHỆ THÔNG TIN CƠ BẢN
PHẦN THI: THỰC HÀNH
Thời gian : 90 phút
(Thí sinh KHÔNG được sử dụng tài liệu)
_____
PHẦN I: Sử dụng hệ điều hành (1 điểm)
Câu 1: Trong thư mục lưu bài của thí sinh
tạo cây thư mục như hình bên: (0,25 điểm)
Câu 2: Tìm 2 file hình ảnh bất kỳ, lưu vào
thư mục TƯ-LIỆU. (0,25 điểm)
Câu 3: Đổi thuộc tính của các tập tin trong
TƯ-LIỆU sang chỉ đọc. (0,25 điểm)
Câu 4: Nén toàn bộ thư mục TƯ-LIỆU này thành tập tin TULIEU.zip và chép vào thư mục CHÍNH-SÁCH. (0,25 điểm)

PHẦN II: Sử dụng trình chiếu cơ bản (2 điểm)
Câu 1: Sử dụng hình ảnh có trên máy tính của thí sinh (không nhất thiết phải giống như hình trong đề thi) để thiết kế đúng định dạng bài thuyết trình theo mẫu như đề thi (gồm 2 slide). (1 điểm)
Câu 2: Thiết kế hiệu ứng chuyển trang (Transition) bất kỳ cho các slide trong bài thuyết trình. (0,5 điểm)
Câu 3: Thiết lập hiệu ứng động (Animation) bất kỳ cho slide số 2 với yêu cầu hình ảnh xuất hiện trước, nội dung xuất hiện sau. (0,5 điểm)

PHẦN III: Xử lý văn bản cơ bản (3 điểm)
Câu 1: Tạo đoạn văn bản sau (1 điểm)

Câu 2: Tạo biểu mẫu sau (1 điểm)

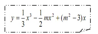
Câu 3: Tạo biểu thức (1 điểm)

* Lưu ý: Thí sinh có thể sử dụng loại font, kích thước chữ, hình ảnh,…. khác với đề bài để thực hiện. Tuy nhiên cần đảm bảo sự thẩm mỹ, hợp lý.
PHẦN IV: Sử dụng bảng tính cơ bản (4 điểm)
Nhập nội dung và định dạng bảng sau: (1 điểm)

Thực hành Excel ứng dụng công nghệ thông tin cơ bản
Mô tả:
- 4 ký tự 3-4-5-6 của Phiếu bán quy định Mã SP.
- 3 ký cuối của Phiếu bán quy định Số lượng bán.
Yêu cầu:
1- Điền thông tin cột Mã SP: dựa vào Phiếu bán. (0,5 điểm)
2- Điền thông tin cột Loại bánh: dựa vào Mã SP và Bảng 1. (0,5 điểm).
3- Điền thông tin cột Giá: dựa vào Mã SP và Bảng 2. (0,5 điểm).
4- Tính Tính tiền: = Số lượng x Giá. (0,5 điểm).
Định dạng dữ liệu cột này có dấu phân định hàng nghìn, không có số lẻ thập phân và tiền tệ là “Đồng” sau số tính.
5- Xếp hạng theo cột Thành tiền. (0,5 điểm)
6- Rút trích (ra một vùng riêng và có ghi rõ điều kiện rút trích) danh sách loại hàng có Phiếu bán chứa “BONG”. (0,5 điểm)
* Lưu ý : với các câu không giải được, thí sinh có thể nhập dữ liệu giả (phải chính xác) để làm các câu tiếp theo.
GIÁM THỊ KHÔNG GIẢI THÍCH GÌ THÊM ./.
ĐỀ ỨNG DỤNG CÔNG NGHỆ THÔNG TIN NÂNG CAO
PHẦN THI: THỰC HÀNH (mô đun: 7-8-9)
Thời gian : 90 phút
(Thí sinh KHÔNG được sử dụng tài liệu)
_____
PHẦN I: Sử dụng trình diễn nâng cao (3 điểm)
Câu 1: Sử dụng hình ảnh có trên máy tính của thí sinh (không nhất thiết phải giống như hình trong đề thi) để thiết kế như định dạng bài thuyết trình gồm các slide (Master Title style, slide 1, slide 2, slide 3) theo mẫu như hình bên dưới.
- Định dạng Master Title style.
- Chèn Footer với nội dung “Thực hành powerpoint”, slide number và date and time ở chế độ Update Automatically. (1,5 điểm)
Câu 2: Thiết lập hiệu ứng chuyển trang (Transition) kiểu bất kỳ cho tất cả các slide trong bài thuyết trình, riêng slide thứ nhất tự động chuyển trang sau 3 giây. (0,5 điểm)
Câu 3: Thiết lập hiệu ứng động (Animation) bất kỳ cho slide số 2 với yêu cầu hình ảnh xuất hiện trước, nội dung xuất hiện sau. (0,5 điểm)
Câu 4: Trên slide số 3 tạo 1 nút (Action Button) để liên kết tới slide số 1. (0,5 điểm)
- Master Title style:
| Slide 1 |
| Slide 3 |
|
Slide 2
|
PHẦN II: Xử lý văn bản nâng cao (3 điểm)
Câu 1: Dùng công cụ Tabstop
tạo mục lục (0,5 điểm):
Câu 2: Tạo đoạn văn bản (1 điểm):
Cả 6 học sinh Hà Nội giành huy chương Olympic khoa học trẻ quốc tế
Thông tin từ Sở Giáo dục và Đào tạo Hà Nội, sáu học sinh Hà Nội tham dự Olympic Khoa học trẻ quốc tế năm 2023 tại Thái Lan đều giành huy chương, trong đó có 1 Huy chương Bạc và 5 Huy chương Đồng.
| K |
ỳ thi Olympic Khoa học trẻ quốc tế năm 2023 được tổ chức từ ngày 1 – 10/12 tại Thái Lan với sự tham gia của 304 học sinh thuộc 54 quốc gia và vùng lãnh thổ. Ban Tổ chức đã trao 182 Huy chương cho các thí sinh đoạt giải; trong đó có 34 Huy chương Vàng, 61 Huy chương Bạc và 87 Huy chương Đồng.
Câu 3: Tạo lưu đồ sau (1 điểm): TLƯUTĐỒTTẠMTỨNG

* Lưu ý: Thí sinh có thể sử dụng loại font, kích thước chữ, hình ảnh,…. khác với đề bài để thực hiện. Tuy nhiên cần đảm bảo sự thẩm mỹ, hợp lý.
PHẦN III: Sử dụng bảng tính nâng cao (4 điểm)
Nhập nội dung và định dạng bảng sau: (1 điểm)
(Giá bán: dấu “.”được sử dụng để phân định phần thập phân)
Mô tả:
- Ký tự thứ 3-4-5 của Hoá đơn quy định Mã.
- Ký tự thứ 7 của Hoá đơn quy định xuất xứ: C -> Cao cấp, N -> Nhập khẩu
- Từ ký thứ 8 trở đi của Hoá đơn quy định Số lượng bán.
Yêu cầu:
1- Điền thông tin cột Tên set hàng: gồm Loại mặt hàng và xuất xứ. (0,5 điểm)
VD: Nếu Hoá đơn là “…SUA-C…” thì sẽ hiển thị thông tin: “Socola sữa – Cao cấp”
2- Điền thông tin cột Số lượng. (0,5 điểm)
3- Điền thông tin cột Giá bán: tra tại Bảng 1. (0,5 điểm)
4- Điền thông tin cột Khuyến mại: dựa vào Số lượng và tra tại Bảng 2. (0,5 điểm)
Ghi chú: chỉ có hàng Nhập khẩu thì mới được khuyến mại theo Số lượng (Bảng 2).
5- Điền thông tin cột Thanh toán:= Số lượng x Giá bán – phần Khuyến mại. (0,5 điểm)
Nếu bán trong tháng 9/2024 sẽ được giảm tiếp 3% trên số tiền tính;
Định dạng dữ liệu cột này có dấu phân định hàng nghìn và có 1 số lẻ thập phân;
Hiển thị đơn vị tính là “nghìn đồng” sau số tính.
6- Hoàn thành phần Thống kê theo doanh thu: như các thông tin yêu cầu. (0,5 điểm)
Định dạng dữ liệu kết quả có dấu phân định hàng nghìn và có 1 số lẻ thập phân.
* Lưu ý: với các câu không giải được, thí sinh có thể nhập dữ liệu giả (nhưng phải chính xác) để làm các câu tiếp theo.
GIÁM THỊ KHÔNG GIẢI THÍCH GÌ THÊM ./.
Nếu bạn thấy hay ! xin bạn 1 phút ! vui lòng đánh giá 5 sao cho trang website của chúng tôi ! để có động lực làm thêm nhiều bài hay nữa ! cảm ơn quý khách nhé !

Khóa học Python online từ cơ bản đến nâng cao
